【新智元导读】马斯克最近又谈及了他坚信不疑的「矩阵模拟假设」,他从压缩(降维)角度对机器学习进行有趣的物理学类比,认为物理模拟宇宙,最终你就会有感知能力,不过,其他学者如马库斯对此说法表示怀疑,认为不可能通过模拟宇宙产生感知。联系起许多学者似乎已经找到了令人毛骨悚然的蛛丝马迹,或许,可以计算我们生存在模拟游戏中的可能性。
马斯克,很魔幻。
他经常口出狂语,认为人类文明很可能与游戏一样,是许多模拟文明中的一部分。
「神经网络主要是从现实中获取大量信息,很多来自无源光学方面,并创建矢量空间,本质上将大量光子压缩成矢量空间。」近日,他又在一组视频里谈到了这个问题。
人们是否能够进入大脑的矢量空间呢?
马斯克认为,「可以。」
他提到,运用压缩的类比方法,我们是可以进入大脑的矢量空间的。大脑过滤很多信息,只留下相关的部分,这只是原始信息很小的一部分,但却可以根据矢量空间的决策做决定。
这实际上就是大规模的压缩与解压缩过程,就像物理学公式一样,因为公式就是对现实生活的压缩算法。
他还说到,如果我们对宇宙进行一个物理学意义上的模拟,就需要大规模的计算,如果有足够的时间,就会产生知觉。
人工智能学者马库斯评论道,「天气模拟不会变湿,为什么物理模拟会有感知能力?」
人工智能的无限发展,以及我们对量子物理的不断认识,让我们不断怀疑自己生存的世界。难道真如《黑客帝国》里所展示的那样,我们生活在一个巨大的矩阵世界吗?
许多学者似乎已经找到了令人毛骨悚然的蛛丝马迹……
马斯克观点:我们生活在巨大的模拟矩阵中
2018年,在由喜剧演员Joe Rogan主持的《The Joe Rogan Experience》节目中,马斯克比较全面的阐述了他自己的价值观,他坚信「我们活在模拟(simulation)中」。
马斯克的「矩阵模拟假设(Matrix-style simulation)」理论是根据宇宙已经存在138亿年的事实而提出来的。 宇宙已有将近140亿年的历史,而人类出现在地球上的历史才不到一万年,所以这段时间足够其他文明兴起。
他相信,更古老的文明很有可能是我们的造物主,并将现实生活比作是过去数十年间游戏的进步。
「从统计学角度看,在如此漫长的时间内,很有可能存在一个文明,而且他们找到了非常可信的模拟方法。这种情况一旦存在,那么他们建立自己的虚拟多重空间就只是一个时间问题了。」 事实上这种假说很多人都曾提到过,也有很多人认为这是真实的,能够创造这种模拟实验的文明肯定存在,他们喜欢创造「玩具」,乃至于创造宇宙都是可能的,因为人类的思维始终保持在一定的阈值内,我们很难去想象宇宙是如何创造的。 马斯克还说,模拟的论据是非常充分的,同时也提醒了我们不要尝试加快文明进化的速度,否则会让界限产生模糊,让文明走向终结。 「这两件事中的一件将会发生。因为我们存在着,所以我们很可能是处在模拟之中。」
他说,如果是这种情况的话,那么用来模拟我们现实生活的「基础现实(basic reality)」可能会非常的无聊。 这不是马斯克第一次分享这个想法,早在2016年的Recode’s annual Code Conference上,他就说过: 「鉴于我们明显处于与现实无法区分的游戏的轨道上,并且这些游戏可以在任何机顶盒或PC以及其它任何东西上播放,而且可能存在数十亿台这样的计算机或设备,那么我们在基础现实中的概率只有数十亿分之一。」 「40年前,我们有《Pong》,就是两个矩形和一个点。这就是游戏的开始。40年后,我们有了3D模拟,以及几百万人的在线游戏。而技术仍在发展,我们很快就会拥有VR和AR世界。」 虽然可以想象我们所有人都可能实际生活在一个巨大且先进的计算机游戏中,但物理学家们的确被这样的想法所吸引,并且从理论上讲,它至少可以算是一种可能性。 那有没有方法可以量化这种可能性呢?
德雷克方程:我们在宇宙中是遗世独立的吗?
德雷克方程是科学界最著名的研究成果之一,它通过估计我们银河系中可能存在的其他智慧文明的数量,计算出我们在宇宙中并不孤单的可能性。 德雷克公式又称「绿岸公式」,是用来推算银河系及可观测宇宙能与我们进行无线电通信的高智能文明数目。由美国天文学家德雷克于1960年代在绿岸镇提出。 德雷克方程 德雷克方程的含义是:
银河系内可能与我们通讯的文明数量=银河系内恒星数目×恒星有行星的比例×每个行星系中类地行星数目×有生命进化可居住行星比例×演化出高智生物的概率×高智生命能够进行通讯的概率×科技文明持续时间在行星生命周期中占的比例。 德雷克方程虽然简单,但却无法求解。该方程还有很多不确定项,比如发展出智慧生命的行星的比例;还有一些可能我们永远都不会知道,比如在被发现之前自我毁灭的比例。 尽管如此,科学家们还是利用德雷克公式对可能出现外星智慧文明的可能性划出了界限。
模拟的世界:如何向「造物主」隐瞒我们的意图?
从另一个角度来说,我们很可能和外星生物存在某种联系,因为我们的世界可能是他们的某种超级计算机的一个模拟。事实上,很多的科学家、哲学家都认为,这种情况的概率非常接近于1。
换句话说,我们每个个体和周围的环境,一切都可能是计算机的数字化模拟。 这种说法的准确性我们不得而知,但是我们仍旧希望能有一种更好的方式来判断这种可能性。 加拿大蒙特利尔大学的 Bibeau-Delisle 和 Gilles Brassard等人已经推导出一个类似德雷克方程的公式,用来计算我们生活在模拟世界中的可能性。但是结果却有点反直觉,可能会改变我们对模拟世界的看法。 Bibeau-Delisle 和 Brassard 首先对可用于创建模拟世界的计算能力进行了估计。
如他们所说,一千克的物质,完全用于计算,可以每秒执行10 ^ 50次运算,而相比之下,同等的人类大脑只能进行10 ^ 16次运算。这样一来,一台相当于人脑质量的计算机就有可能模拟出1.4 × 10 ^ 25个虚拟大脑的实时进化过程。 所以可以合理的假设,在一个足够先进的文明中,一个地外高等文明生物完全可以模拟我们这样充满了自我意识的人类社会。
两位作者提出了上图的公式来计算茫茫人海中有多少人是被模拟出来的,他们得到了两种结果:要么这个世界完全是被模拟的,要么能够用来模拟大脑的先进计算能力并不存在。 而第二种结果很可能是正确的。作者认为,一个只是技术比我们发达的高等文明生物,能够以非常精确的方式模拟人类生物,使得人们有意识,但又同时愚弄了他们,让真正的现实世界隔绝,这种做法是不道德的。 另一种可能性是,外星文明从没有强大到可以进行这种模拟,他们可能在这之前就因为疾病、战争、气候等原因而消亡了。 两位作者还提出了一个问题:假设我们存在于模拟世界中,我们是否可以逃跑,或者向高等的造物主隐瞒我们的意图? 他们认为模拟技术在本质上是量化的,如果量子现象在传统的计算机中如此难以计算,那么我们的世界很可能是在量子计算机上进行的模拟。
马斯克常挂嘴边的「第一性」,还是DeepMind对付薛定谔猫的工具
还记得马斯克常常挂在嘴边的「第一性原理」吗?
昨日,DeepMind发布了利用第一性原理指导深度学习进行量子力学研究的代码,以便更好地计算物理学和化学并将其应用到更广泛的问题上。
该团队开发了一种新的神经网络结构「Fermionic Neural Network」,简称 FermiNet ,它非常适合于模拟大量电子的量子态,而这些电子正是化学键的基本组成部分。
FermiNet 首次展示了从第一性原理来将深度学习技术应用于计算原子和分子的能量,并且达到了可以使用的精度,是迄今为止最精确的神经网络方法。
FermiNet 未来还将承担在蛋白质折叠、玻璃动力学、晶格量子色动力学和许多其他项目上的工作,将这一愿景变为现实。
经典系统的状态可以用很简单的方法表示:只需要跟踪每个粒子的位置和动量即可。而描述量子系统的状态要困难得多。必须给每一种可能的电子位置构型创建对应的概率分布。
这些会被编码在波函数中,波函数给每个电子组态赋予一个正数或负数,波函数的平方给出了在这个组态中找到系统的概率。 而要描述电子组态所有可能的位置,几乎是不可能的,因为假设每个维度上有100个网格,则可能的电子配置的数量将大于宇宙中的所有原子数量! 而这正是DeepMind团队认为深层神经网络可以起到帮助的地方。 在过去的几年中,神经网络在表示复杂的、高维的概率分布方面取得了巨大的进展,现在也可以高效且可伸缩地训练这些网络。 DeepMind成员认为,既然这些网络已经证明了它们在人工智能问题中拟合高维函数的能力,也许它们也可以用来表示量子波函数。 在处理电子时只有一个问题就是:电子必须服从「泡利不相容原理」,这意味着它们不可能同时处于同一空间。 这是因为电子是一种被称为「费米子」的粒子,包括大多数物质的组成部分如质子、中子、夸克、中微子等都是费米子粒子。 它们的波函数一定是反对称的,如果你交换两个电子的位置,波函数就会乘以 -1。这意味着,如果两个电子相互叠加,波函数(以及这种构型的概率)将为零。 这意味着必须开发一种新型的神经网络,它的输入是反对称的,也就是「费米子神经网络」,或者 「FermiNet」。 在大多数量子化学方法中,反对称性是用一个行列式的函数引入的。矩阵的行列
在 FermiNet 中,这是通过使进入行列式的每个函数成为所有电子的函数来实现的。这远远超出了只使用单电子和双电子函数的方法。 FermiNet 对每个电子都有一个独立的信息流。如果这些数据流之间没有任何交互,这个网络就不会比传统的斯莱特行列式网络更具表现力。 与斯莱特行列式不同,FermiNets 是通用函数逼近器,这就意味着,如果我们能够正确地训练这些网络,它们应该能够适应薛定谔方程的近乎精确的解。 通过最小化系统能量来拟合FermiNet。为了精确地做到这一点,需要在所有可能的电子构型下计算波函数,所以需要近似计算。
为了确保 FermiNet 确实代表了最先进技术,研究人员从研究简单透彻的系统开始。
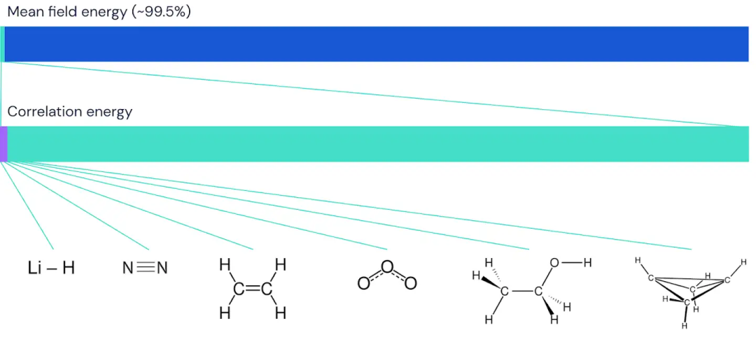
把 FermiNet 应用到更大的分子上,从氢化锂开始,一直到双环丁烷,观察到的最大的系统,有30个电子。对于最小的分子,FermiNet 捕获了令人震惊的 99.8% 的耦合团簇能量和从单个斯莱特行列式所获得的能量之间的差异。对于丁烷,FermiNet 也捕获了这种相关能量的97% 或者更多,这和传统方法相比是一个巨大的提升。 DeepMind 认为 FermiNet 是将深度学习和计算量子化学融合的开端。
量子计算似乎是我们逃逸必须要掌握的能力。 然而,「造物主」有办法阻止我们逃逸,如果真是一个巨大的模拟器,他们所需要做的就是直接重启模拟器或者直接关机,让一切重新归零。 更糟糕的情况是,如果「造物主」对我们试图逃跑感到愤怒,而把我们送入一个模拟的地狱,那真的是万劫不复了。
